眩光測量系統
- -
卓立漢光從2015年研發出*一套眩光測試系統,并在近幾年的眩光測試實踐中,不斷更新測量方法和測試思路,推出了同時包含UGR,GR,TI三類眩光評價指標的眩光測試系統,以及道路照明測試系統。此系統可以通過Glare軟件控制相機實現在線式的測量,測量和計算眩光參數可以一次性完成。
對于UGR,GR,TI的眩光測量,目前比較受認可的標準是CIE 117-1995,CIE112-1994,CIE 140-2000 和CIE 150-2003,所有眩光相關的標準和規范都以此為基準。
其中CIE 117-1995規定了*關鍵的兩個指標:1、UGR測試適用于立體角為0.1~0.0003sr的光源,因此成像亮度計的分辨率必須大于500萬像素,才能保證準確測量0.0003sr的光源;2、Guth位置指數表里,T/R*大值為3,因此測試系統的視野角必須大于2×arctan3=143.14°。GR 和TI 都適用于此標準。


UGR----計算公式

UGR ---適用條件:
-
UGR 適用于簡單的立方體形房間的一般照明裝置設計,不應用于采用間接照明和發光天棚的房間;
-
燈具應為雙對稱配光;
-
坐姿觀測者眼睛的高度應取1. 2m ,站姿觀測者眼睛的高度應取1. 5m;
-
觀測位置應在縱向和橫向兩面墻的中點,視線應水平朝前觀測;
-
房間表面應為大約高出地面0.75m 的工作面, 燈具安裝表面以及此兩個表面之間的墻面。
GR -- 計算公式

GR --適用條件:
-
本計算方法應為常用條件下,滿足照度均勻度的體育場館的各種照明布燈方式;
-
應采用于視線方向低于眼睛高度;
-
看到的背景應是被照場地;
-
眩光值計算用的觀察者位置可采用計算照度用的網格位置,或采用標準的觀察者位置;
-
可按一定數量角度間隔(5。…… 45。) 轉動選取一定數量觀察方向。
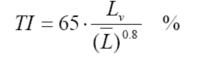
TI--計算公式
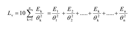
閾值增量的計算公式:

其中:

其中:
是路面平均亮度;
Ek是編號為k的眩光源在觀察者眼中、垂直于視線平面上產生的照度;
θk是視線與編號k的眩光源射入眼睛中光線的夾角,其有效范圍在1.5°到60°之間;
眩光軟件界面:

產品優點:
- 高中低三檔配置可選;
- 一次拍攝,不需拼接畫面,保證測試精度;
- 軟件自動獲取所需信息,自動計算出眩光值,方便快捷;
- 科學測量級測試儀器,保證測量結果的準確性
- 系統配置和軟件算法,保證快速準確的測量
- 在線式測量,自動篩選,抓取燈具
- 軟件功能豐富,可擴展功能
- 報告格式(可定制)
應用:
教室照明
圖書館照明
會議室照明
體育場館
道路照明
.......
測量參數:
亮度 亮度均勻性
色坐標 色度均勻性
眩光值(UGR,GR,TI) MURA
顯示屏殘影測試 MPRT
路面平均亮度 路面亮度總均勻度
路面亮度縱向均勻度
除眩光值(UGR,GR,TI) 外的測試項為選配件,請聯系卓立漢光銷售人員確認方案。
主要技術參數
|
|
ZL-PM-800 |
ZL-CIM-1000 |
ZL-Glare-500 |
|
配置 |
進口成像亮度計+魚眼鏡頭+Glare眩光測試軟件 |
國產成像亮度計+魚眼鏡頭+Glare眩光測試軟件 |
工業機機+定制鏡頭+Glare眩光測試軟件 |
|
分辨率 |
800萬or 1600萬 or 2900萬 |
1000萬or 1600萬or 3600萬or 6100萬 |
500萬or 1200萬 |
|
亮度精度 |
±3% |
±3% |
±4% |
|
動態范圍 |
1000000:1(多次曝光) |
1000000:1(多次曝光) |
NA |
|
測試參數 |
亮度,色坐標,色溫,均勻性,UGR, GR, TI等 |
亮度,色坐標,色溫,均勻性,UGR, GR, TI等 |
UGR, GR, TI |
|
特點 |
采用進口高性能成像亮度計,靈敏度高,適用于低亮測試。 |
采用國產成像亮度計,也可做亮度和色度等絕對值測試,性價比高。 |
儀器便攜,操作簡單,成本低廉 |













































































































13810233784
在線咨詢
